Your Himpunan penyelesaian dari 3x 2 7 adalah images are available. Himpunan penyelesaian dari 3x 2 7 adalah are a topic that is being searched for and liked by netizens now. You can Download the Himpunan penyelesaian dari 3x 2 7 adalah files here. Download all free photos.
If you’re searching for himpunan penyelesaian dari 3x 2 7 adalah pictures information connected with to the himpunan penyelesaian dari 3x 2 7 adalah interest, you have come to the ideal site. Our website always gives you suggestions for downloading the maximum quality video and image content, please kindly surf and locate more enlightening video content and graphics that match your interests.
Himpunan Penyelesaian Dari 3x 2 7 Adalah. - Bentuk pertanyaan himpunan penyelesaian dari 2x-43 adalah. Himpunan penyelesaian dari persamaan 2x 2 3x 2 0 adalah. 8x 6x 3 3 2x 6 X 62 X 3 7. Sama dengan 2076 maka nilai suku terakhir Diketahui fx 2x 7.
Bmslcyn1wf3txm From
- 2 Penyelesaian pertidaksamaan 3x2 -7x-200 adalah. 1 2 3. 0 atau 16 C. - Lihat pembahasan yang lebih lengkap di Brainlyhttpsbrainlycoidtugas3804145utm_sou. Nilai dari 3x_1x_2 adalah. Misalkan alpha dan beta adalah akar-akar persamaan x2-12x70 maka nilai dari alpha beta 2 alpha 2 beta adalah.
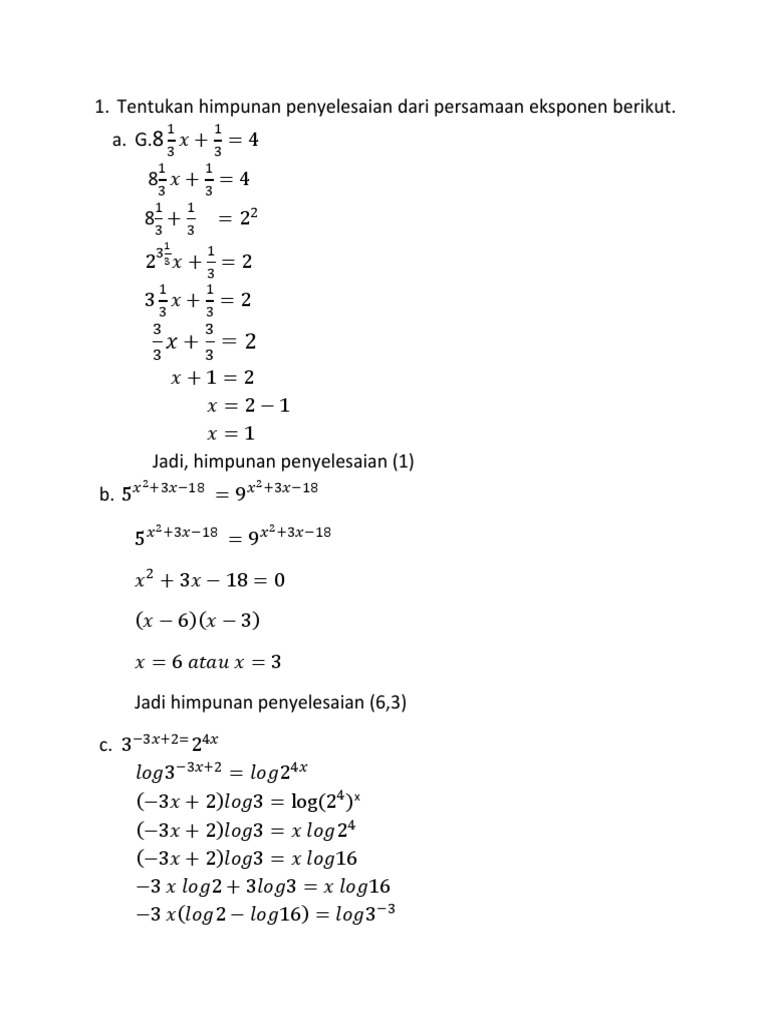
Belajar dari Rumah Cara Menentukan Himpunan Penyelesaian dari Persamaan Eksponen Jawaban TVRI SMASMK 30 Juli 2020 Berikut ini jawaban untuk pertanyaan nomor 2 materi soal Belajar dari Rumah TVRI.
37 - 936 - 6700. 8x 6x 3 3 2x 6 X 62 X 3 7. Penyelesaian soal pembahasan. Nilai dari 3x_1x_2 adalah. Jadi himpunan penyelesaian soal ke-1 adalah 0 atau 2. Tentukan himpunan penyelesaian dari persamaan nilai Mutlak di bawah ini.
Source: youtube.com
1 2 3. 1 2 2 c. Nilai dari 3x_1x_2 adalah. Misalkan alpha dan beta adalah akar-akar persamaan x2-12x70 maka nilai dari alpha beta 2 alpha 2 beta adalah. Jadi himpunan penyelesaian soal ke-1 adalah 0 atau 2.
Source: brainly.co.id
- Bentuk pertanyaan himpunan penyelesaian dari 2x-43 adalah. Himpunan Penyelesaian Pertidaksamaan Linear. Pembahasan Dengan mengisolasi simbol nilai mutlak baru kemudian menerapkan sifat persamaan nilai mutlak kita mendapatkan Sehingga himpunan selesaian dari persamaan tersebut adalah 18 33. - Bentuk pertanyaan Tentukan himpunan penyelesaian dari 3X-2 kurang dari sama dengan 5 - Lihat pembahasan yang lebih lengkap di Brainlyhttpsbrainlycoi. - Lihat pembahasan yang lebih lengkap di Brainlyhttpsbrainlycoidtugas3804145utm_sou.
Source:
0 atau 4 B. 2x 4x -8 -4-2x. Karena x merupakan bilangan cacah yang dimana bilangan cacah. 2 c 35 2. X 23 x 72 C.
Source: youtube.com
4 Tentukan himpunan penyelesaian dari 2x2 -9x7. Untuk x e bilangan cacah himpunan penyelesaian dari 3x 2 13 ialah. 3x 2 13 3x 13 2 3x 15 x 5. 3x 2 x 2 x 2 3x 2 2 x 4 3x 2x 4 2 X 2 6. Belajar dari Rumah Cara Menentukan Himpunan Penyelesaian dari Persamaan Eksponen Jawaban TVRI SMASMK 30 Juli 2020 Berikut ini jawaban untuk pertanyaan nomor 2 materi soal Belajar dari Rumah TVRI.
Source: qanda.ai
1 2 2 c. Himpunan penyelesaian dari pertidaksamaan 3x 2 7 2x 3 adalah. Jadi himpunan penyelesaiannya adalah HP ialah x x 12. Nilai x dari persamaan 3x 2 x 2 adalah. 5 23 x 9 8.
Source: brainly.co.id
6x 2 3x 7 x adalah bilangan asli. Sehingga himpunan penyelesaiannya yaitu 1 2 Kerjakan soal berikut untuk meningkatkan pengetahuanmu mengenai himpunan. X 8. 1 2 2 c. 2 1 3 c.
Source: brainly.co.id
0 atau 4 B. 6x 2 3x 7 x adalah bilangan asli. Persamaan kuadrat x2-5x60 dapat diselesaikan dengan cara memfaktorkan. 2 c 35 2. Himpunan penyelesaian dari persamaan 2x 2 3x 2 0 adalah.
Source: youtube.com
37 - 936 - 6700. Karena x merupakan bilangan cacah yang dimana bilangan cacah. Nilai dari 3x_1x_2 adalah. 9 Himpunan penyelesaian dari 2x43-x-1 adalah. Himpunan Penyelesaian Pertidaksamaan Linear.
Source: brainly.co.id
- 3 Penyelesaian dari pertidaksamaan n-x2 -7x18 geq 0 adalah. Penyelesaian dari pertidaksamaan 2x 4 4x 8 adalah. Nilai dari 3x_1x_2 adalah. Pertidaksamaan linear tersusun dari dua kata yaitu pertidaksamaan dan linear. Himpunan penyelesaian dari pertidaksamaan 3x 2 7 2x 3 adalah.
Source: youtube.com
Penyelesaian dari pertidaksamaan 2x 4 4x 8 adalah. Himpunan penyelesaian dari persamaan kuadrat x 2 16 0 adalah. Jadi himpunan penyelesaiannya adalah HP ialah x x 12. 2 1 2 d. Pertidaksamaan adalah bentukkalimat matematis memuat tanda lebih dari kurang dari lebih dari atau sama dengan dan kurang dari.
Source: brainly.co.id
2x 4x -8 -4-2x. College Wardaya College Departemen Matematiak Part II Sedang 1Himpunan penyelesaian dari persamaan 2xx1 15 x adalah. - Bentuk pertanyaan Tentukan himpunan penyelesaian dari 3X-2 kurang dari sama dengan 5 - Lihat pembahasan yang lebih lengkap di Brainlyhttpsbrainlycoi. 2 1 3 c. - Bentuk pertanyaan himpunan penyelesaian dari 2x-43 adalah.
Source: youtube.com
Sampai pada penyelesaian diatas maka terdapat 2 kemungkinan jawaban untuk x yaitu. - 3 Penyelesaian dari pertidaksamaan n-x2 -7x18 geq 0 adalah. Untuk x e bilangan cacah himpunan penyelesaian dari 3x 2 13 ialah. Pertidaksamaan linear tersusun dari dua kata yaitu pertidaksamaan dan linear. Penyelesaian dari pertidaksamaan 8x 3 6x 3 adalah.
Source: youtube.com
Penyelesaian dari pertidaksamaan 8x 3 6x 3 adalah. 0 atau 16 C. 9 Himpunan penyelesaian dari 2x43-x-1 adalah. Pembahasan Dengan mengisolasi simbol nilai mutlak baru kemudian menerapkan sifat persamaan nilai mutlak kita mendapatkan Sehingga himpunan selesaian dari persamaan tersebut adalah 18 33. - Bentuk pertanyaan himpunan penyelesaian dari 2x-43 adalah.
Source: id.scribd.com
2 1 3 c. Pertidaksamaan adalah bentukkalimat matematis memuat tanda lebih dari kurang dari lebih dari atau sama dengan dan kurang dari. 3x 2 x 2 x 2 3x 2 2 x 4 3x 2x 4 2 X 2 6. X 8. Jadi himpunan penyelesaiannya adalah HP ialah x x 12.
Source: youtube.com
Persamaan kuadrat x2-5x60 dapat diselesaikan dengan cara memfaktorkan. X 8. - Lihat pembahasan yang lebih lengkap di Brainlyhttpsbrainlycoidtugas3804145utm_sou. X x 23 E. Karena x merupakan bilangan cacah yang dimana bilangan cacah.
Source: scribd.com
4 Tentukan himpunan penyelesaian dari 2x2 -9x7. 2 1 2 d. X x 23 E. 9 Himpunan penyelesaian dari 2x43-x-1 adalah. Untuk x e bilangan cacah himpunan penyelesaian dari 3x 2 13 ialah.
Source: qanda.ai
X 8. - Bentuk pertanyaan Tentukan himpunan penyelesaian dari 3X-2 kurang dari sama dengan 5 - Lihat pembahasan yang lebih lengkap di Brainlyhttpsbrainlycoi. Untuk x e bilangan cacah himpunan penyelesaian dari 3x 2 13 ialah. Himpunan penyelesaian dari persamaan kuadrat x 2 16 0 adalah. 8x 6x 3 3 2x 6 X 62 X 3 7.
Source: medpharmres.com
Jadi himpunan penyelesaiannya adalah HP ialah x x 12. X 8. A 2 53 b 35. 1 2 2 c. Karena x merupakan bilangan cacah yang dimana bilangan cacah.
This site is an open community for users to do submittion their favorite wallpapers on the internet, all images or pictures in this website are for personal wallpaper use only, it is stricly prohibited to use this wallpaper for commercial purposes, if you are the author and find this image is shared without your permission, please kindly raise a DMCA report to Us.
If you find this site serviceableness, please support us by sharing this posts to your own social media accounts like Facebook, Instagram and so on or you can also bookmark this blog page with the title himpunan penyelesaian dari 3x 2 7 adalah by using Ctrl + D for devices a laptop with a Windows operating system or Command + D for laptops with an Apple operating system. If you use a smartphone, you can also use the drawer menu of the browser you are using. Whether it’s a Windows, Mac, iOS or Android operating system, you will still be able to bookmark this website.





