Your Cos 330 tan 240 sin 45 images are available. Cos 330 tan 240 sin 45 are a topic that is being searched for and liked by netizens today. You can Find and Download the Cos 330 tan 240 sin 45 files here. Get all free images.
If you’re searching for cos 330 tan 240 sin 45 pictures information related to the cos 330 tan 240 sin 45 interest, you have visit the right blog. Our website always gives you hints for refferencing the highest quality video and picture content, please kindly surf and locate more informative video articles and images that fit your interests.
Cos 330 Tan 240 Sin 45. It is easy to memorise the values for these certain angles. Exact values of sin45 cos45 tan45 csc45 sec45 cot45 Find exact values of all trigonometric functions when the angle is 45 degreesblackpenr. Angle radians 0 PI6 PI4 PI3 PI2. If Statement 1 is True and Statement 2 is False.
Cos 330 Tan 315 Sin 210 Cotan 330 Studi Indonesia From studindo.vercel.app
Play with this for a while move the mouse around and get familiar with values of sine cosine and tangent for different angles such as 0 30 45 60 and 90. Tan values are positive in the 1st and 3rd quadrants and negative in the 2nd and 4th quadrants. 330 is in the 4th quadrant. 27 θ 330 29 θ -45 31. Since we know csc 270 θ - sec θ - 2. Angle radians 0 PI6 PI4 PI3 PI2.
Find the value of csc 315.
195 240 45 sin195 105 75 30 sin195 Answer by Alan335467427 Show Source. Sin 1 y qy 1 csc y q cos 1 x qx 1 sec x q tan y x q cot x y q Facts and Properties Domain The domain is all the values of q that can be plugged into the function. What is value of sin 30What about cos 0and sin 0How do we remember themLets learn how. When we find sin cos and tan values for a triangle we usually consider these angles. The trigonometric values are about the knowledge of standard angles for a given triangle as per the trigonometric ratios sine cosine tangent cotangent secant and. Cos 330 cos 270 60.
Source: youtube.com
Exact values of sin45 cos45 tan45 csc45 sec45 cot45 Find exact values of all trigonometric functions when the angle is 45 degreesblackpenr. Free math problem solver answers your algebra geometry trigonometry calculus and statistics homework questions with step-by-step explanations just like a math tutor. Tan values are positive in the 1st and 3rd quadrants and negative in the 2nd and 4th quadrants. Since we know csc 270 θ - sec θ - 2. Also try 120 135 180 240 270 etc and notice that positions can be positive or negative by the rules of Cartesian coordinates so the sine cosine and tangent.
Source: youtube.com
Sin 330 cos 315 sin 450 cos 60 sin 240 sin 45 pos 570 5 go 510 tan 3 1 5 tan 240 OVER. 195 240 45 sin195 105 75 30 sin195 Answer by Alan335467427 Show Source. Find the value of csc 315. It is easy to memorise the values for these certain angles. Free trigonometric function calculator - evaluate trigonometric functions step-by-step.
Source: studindo.vercel.app
Tabel Sin Cos Tan Sahabat Rumus Rumus setelah dipertemuan sebelumnya telah saya bahas tentang rumus dan fungsi trigonometri secara lebih detail dan lengkap maka dipertemuan sekarang ini saya akan mencoba memberikan ulasan kepada kalian para pembaca tentang tabel sin cos tan dari 0 derajat sampai 360 derajat. Trig Table of Common Angles. If both the statements are true and Statement 2 is the correct explanation of statement 1. Exact values of sin45 cos45 tan45 csc45 sec45 cot45 Find exact values of all trigonometric functions when the angle is 45 degreesblackpenr. Sin 330 cos 315 sin 450 cos 60 sin 240 sin 45 pos 570 5 go 510 tan 3 1 5 tan 240 OVER.
Source: slidetodoc.com
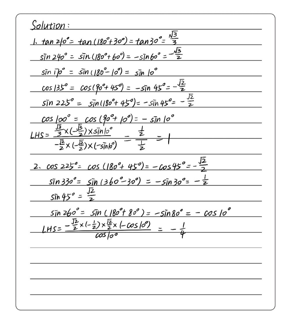
Therefore cot 270 θ - tan θ. Therefore cot 270 θ - tan θ. Nilai COS 330TAN 240-SIN 45 a. Cos hypotenuse q hypotenuse sec adjacent q opposite tan adjacent q adjacent cot opposite q Unit circle definition For this definition q is any angle. Make your answer as.
Source: doubtnut.com
Also try 120 135 180 240 270 etc and notice that positions can be positive or negative by the rules of Cartesian coordinates so the sine cosine and tangent. Tan330 tan30 1 3. Find the exact value of sin θ cos θ and tan θ using reference angles. 330 is in the 4th quadrant. If Statement 1 is True and Statement 2 is False.
Source: brainly.co.id
Tabel Sin Cos Tan Sahabat Rumus Rumus setelah dipertemuan sebelumnya telah saya bahas tentang rumus dan fungsi trigonometri secara lebih detail dan lengkap maka dipertemuan sekarang ini saya akan mencoba memberikan ulasan kepada kalian para pembaca tentang tabel sin cos tan dari 0 derajat sampai 360 derajat. Free math problem solver answers your algebra geometry trigonometry calculus and statistics homework questions with step-by-step explanations just like a math tutor. Find the exact values of the sine cosine and tangent of the angle. Cos 330 cos 270 60. Tan30 1 3.
Source: studindo.vercel.app
Restrict your answers to once around the unit circle. It is easy to memorise the values for these certain angles. If Statement 1 is True and Statement 2 is False. Also try 120 135 180 240 270 etc and notice that positions can be positive or negative by the rules of Cartesian coordinates so the sine cosine and tangent. Therefore cot 270 θ - tan θ.
Source: brainly.co.id
Tan values are positive in the 1st and 3rd quadrants and negative in the 2nd and 4th quadrants. However they are all linked to the angle in the first quadrant. Tan values are positive in the 1st and 3rd quadrants and negative in the 2nd and 4th quadrants. Sin 330 cos 315 sin 450 cos 60 sin 240 sin 45 pos 570 5 go 510 tan 3 1 5 tan 240 OVER. Find the value of csc 315.
Source: quora.com
When we find sin cos and tan values for a triangle we usually consider these angles. Find the value of cos 330. However they are all linked to the angle in the first quadrant. Sin 330 cos 315 sin 450 cos 60 sin 240 sin 45 pos 570 5 go 510 tan 3 1 5 tan 240 OVER. Find the exact value of sin θ cos θ and tan θ using reference angles.
Source: gauthmath.com
Free math problem solver answers your algebra geometry trigonometry calculus and statistics homework questions with step-by-step explanations just like a math tutor. Sin 330 cos 315 sin 450 cos 60 sin 240 sin 45 pos 570 5 go 510 tan 3 1 5 tan 240 OVER. Find the value of csc 315. Cos 330 cos 270 60. We know that sin0º is 0 and that cos0º 1 so cos330º 1cos30º 0sin30º cos330º.
Source:
Tabel Sin Cos Tan Sahabat Rumus Rumus setelah dipertemuan sebelumnya telah saya bahas tentang rumus dan fungsi trigonometri secara lebih detail dan lengkap maka dipertemuan sekarang ini saya akan mencoba memberikan ulasan kepada kalian para pembaca tentang tabel sin cos tan dari 0 derajat sampai 360 derajat. What is value of sin 30What about cos 0and sin 0How do we remember themLets learn how. Restrict your answers to once around the unit circle. Answer the following questions WITHOUT using your calculator or your notes. If both the statements are True but Statement 2 is not the correct explanation of Statement 1.
Source: brainly.co.id
Cos hypotenuse q hypotenuse sec adjacent q opposite tan adjacent q adjacent cot opposite q Unit circle definition For this definition q is any angle. Find the exact value of sin θ cos θ and tan θ using reference angles. When we find sin cos and tan values for a triangle we usually consider these angles. Angle radians 0 PI6 PI4 PI3 PI2. Nilai COS 330TAN 240-SIN 45 a.
Source: varsitytutors.com
Sin 330 cos 315 sin 450 cos 60 sin 240 sin 45 pos 570 5 go 510 tan 3 1 5 tan 240 OVER. We will discuss what are different values ofsin cos tan cosec sec cotat0 30 45 60 and 90 degreesand how to memorise themSo we have to fill this tableHow to. Exact values of sin45 cos45 tan45 csc45 sec45 cot45 Find exact values of all trigonometric functions when the angle is 45 degreesblackpenr. 195 240 45 sin195 105 75 30 sin195 Answer by Alan335467427 Show Source. Csc 315 sec 270 45 - sec 45.
Source: studindo.vercel.app
Angle radians 0 PI6 PI4 PI3 PI2. Trig Table of Common Angles. Sinq q can be any. When we find sin cos and tan values for a triangle we usually consider these angles. Also try 120 135 180 240 270 etc and notice that positions can be positive or negative by the rules of Cartesian coordinates so the sine cosine and tangent.
Source: gauthmath.com
The trigonometric values are about the knowledge of standard angles for a given triangle as per the trigonometric ratios sine cosine tangent cotangent secant and. Angle radians 0 PI6 PI4 PI3 PI2. Free trigonometric function calculator - evaluate trigonometric functions step-by-step. To ask Unlimited Maths doubts download Doubtnut from - httpsgoogl9WZjCW sin 150cos 120 cos 330sin660 -1. What is value of sin 30What about cos 0and sin 0How do we remember themLets learn how.
Source: studindo.vercel.app
Sinq q can be any. If both the statements are True but Statement 2 is not the correct explanation of Statement 1. Find all values of x that satisfy the below equations. Restrict your answers to once around the unit circle. Csc 315 sec 270 45 - sec 45.
Source: studindo.vercel.app
Find the exact values of the sine cosine and tangent of the angle. Find the value of cos 330. Tan30 1 3. Cos330º sqrt32 Remember that cosa-b cosacosb sinasinb and that 330º 360º - 30º so cos330º cos360º - 30º cos360ºcos30º sin360ºsin30º The cosine sine tangent and secant of 360º equal the cosine sine tangent and secant of 0º respectively. 0 30 45 60 and 90.
Source: studindo.vercel.app
195 240 45 sin195 105 75 30 sin195 Answer by Alan335467427 Show Source. Find the exact values of the sine cosine and tangent of the angle. θ 330 360 30. We will discuss what are different values ofsin cos tan cosec sec cotat0 30 45 60 and 90 degreesand how to memorise themSo we have to fill this tableHow to. 27 θ 330 29 θ -45 31.
This site is an open community for users to do sharing their favorite wallpapers on the internet, all images or pictures in this website are for personal wallpaper use only, it is stricly prohibited to use this wallpaper for commercial purposes, if you are the author and find this image is shared without your permission, please kindly raise a DMCA report to Us.
If you find this site beneficial, please support us by sharing this posts to your preference social media accounts like Facebook, Instagram and so on or you can also bookmark this blog page with the title cos 330 tan 240 sin 45 by using Ctrl + D for devices a laptop with a Windows operating system or Command + D for laptops with an Apple operating system. If you use a smartphone, you can also use the drawer menu of the browser you are using. Whether it’s a Windows, Mac, iOS or Android operating system, you will still be able to bookmark this website.





