Your Contoh soal tes staff bandara images are ready in this website. Contoh soal tes staff bandara are a topic that is being searched for and liked by netizens now. You can Get the Contoh soal tes staff bandara files here. Download all free vectors.
If you’re looking for contoh soal tes staff bandara pictures information linked to the contoh soal tes staff bandara topic, you have come to the right site. Our site frequently gives you suggestions for viewing the maximum quality video and image content, please kindly hunt and locate more enlightening video articles and images that match your interests.
Contoh Soal Tes Staff Bandara. Tentang tips menjalani tes dan interview sebagai staff accounting. Salah satau tahapanya adalah tes bahasa inggris. Contoh Soal Tes Seleksi Masuk Sekolah FAAST Penerbangan Terbaru Gambaran Soal Tes Tertulis Masuk FAAST Penerbangan FAAST Penerbangan adalah lembaga pendidikan dan pelatihan staff airline yang berlokasi di Kota Yogyakarta. Jumlah 4 bilangan pertama adalah 50 dan jumlah 4 bilangan terakhir adalah 74.
Tips Mengikuti Tes Psikotes Staff Bandara Pspp Penerbangan From pendidikanstaffpenerbangan.com
Enam buah bilangan membentuk deret aritmatika. Gambaran Soal Tes Bahasa Inggris Pramugari Banyak tahapan Tes Seleksi yang harus dilewati sebelum resmi menjadi Seorang Pramugari Flight Attendant Maskapai Penerbangan. Mouse adalah salah satu komponen komputer yang berfungsi untuk a. Setidaknya Contoh Soal Tes Wawancara Staff Penerbangan tersebut bisa memberikan gambaran agar mempersiapkan diri ketika akan melakukan wawancara. Untuk itu simak baik baik ya gaess agar kalian nanti ketika menghadapi tes. Contoh Soal Tes Bahasa Inggris Calon Pramugari Maskapai Penerbangan.
Informasi yang anda cari adalah contoh soal tes kerja staff administrasiDibawah ini telah kami sajikan Informasi Lowongan kerja Lulusan SMA SMK D3 S1 S2 Semua Jurusan Lowongan BANK BUMN CPNS dan Swasta lainnya berdasarkan keterkaitan artikel ataupun keterkaitan iklan yang benar-benar sesuai dengan kata kunci.
Berikut adalah contoh Soal Tes Bahasa Inggris Calon Pramugari Flight Attendant. Gambaran Soal Tes Bahasa Inggris Pramugari Banyak tahapan Tes Seleksi yang harus dilewati sebelum resmi menjadi Seorang Pramugari Flight Attendant Maskapai Penerbangan. Poin pembahasan Gaya Terbaru 23 Kumpulan Soal Tes PENERBANGAN adalah. 50 4U 1 6b diketahui b. Tes Performance STAFF Penerbangan. Contoh Soal Tes Tertulis Bagian Administrasi.
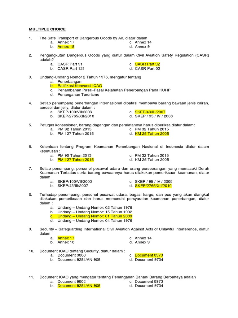
Source: pspp.co.id
Contoh Soal Tes Staff PENERBANGAN Contoh Soal Bahasa Inggris Tes PENERBANGAN Tes pengetahuan umum PENERBANGAN Tes Masuk Staff PENERBANGAN Tes Akademik PENERBANGAN Soal matematika tes pilot Tes Masuk Sekolah PENERBANGAN Contoh Soal Tes Masuk SMK PENERBANGAN Contoh Soal Tes Akademik SMK penerbangan Tes Psikotes Sekolah penerbangan Soal tes bandara Contoh soal psikotes Staff. Cara Lolos Tes Interview Staff Penerbangan Ada banyak sekali tips yang bisa anda coba agar bisa lolos saat menghadapi Tes Wawancara Interview Kerja Salah satu tips yang paling ampuh adalah dengan mengikuti pendidikan. Bagi Anda yang ingin menjadi Staff Penerbangan tes performence menjadi hal pertama yang dilakukan. Soal untuk Tes Bahasa Inggris Calon Pramugari ternyata tidak terlalu sulit dibandingkan dengan tes Bahasa inggris pada umumnya. Contoh soal tes akuntansi untuk calon karyawan dan jawabannya.
Source: daftar-pspp.com
Tes ini akan mengukur tinggi dan berat badan Anda apakah sudah ideal atau belum. Dengan sering berlatih berbagai tipe soal psikotes matematika tersebut dan mempelajari pembahasannya semoga kita. Tentang tips menjalani tes dan interview sebagai staff accounting. Simak ulasan terkait soal ujian dengan artikel Terpopuler 36 Soal Tes Bandara. Dan tahapan dari tes tersebut ada seperti tes wawancara tes fisik dan tes online tes bahasa inggris.
Source: ishabripedia.us
Tes Performance STAFF Penerbangan. Selain bisa memperindah tampilan HP soal ujian dengan tema tulisan ini bisa memberikan warna tersendiri buat keseharianmu. Kisi Kisi Tes Tertulis Masuk Sekolah PSPP Penerbangan Persyaratan Masuk Sekolah Penerbangan. Dibawah ini telah kami sajikan Informasi Lowongan kerja Lulusan SMA SMK D3 S1 S2 Semua Jurusan Lowongan BANK BUMN CPNS dan Swasta lainnya berdasarkan keterkaitan artikel ataupun keterkaitan iklan yang benar-benar sesuai dengan kata kunci. Gambaran Soal Tes Bahasa Inggris Pramugari Banyak tahapan Tes Seleksi yang harus dilewati sebelum resmi menjadi Seorang Pramugari Flight Attendant Maskapai Penerbangan.
Source: nusagates.com
Tes ini akan mengukur tinggi dan berat badan Anda apakah sudah ideal atau belum. Dan dibawah ini admin akan memberikan contoh contoh soal tes bahasa inggris masuk sebuah sekolah penerbangan. Contoh soal tes staff penerbangan. Contoh soal tes deret aritmatika terdiri dari nomor 26-30. Contoh soal tes kerja staff administrasi.
Source: liputan6.com
Tes Performance STAFF Penerbangan. 50 4U 1 6b diketahui b. Contoh soal tes kerja staff administrasi. Salah satau tahapanya adalah tes bahasa inggris. Tes Tulis Staff Adm Contoh Soal Tes Administrasi Perkantoran Dan Jawabannya Pdf Ilmusosial Id.
Source: mkh.sch.id
Salah satau tahapanya adalah tes bahasa inggris. TES KOMPUTER UNTUK MELAMAR KERJA SEBAGAI STAFADMIN CONTOH SOAL TES KOMPUTER SAAT MELAMAR KERJA - YouTube. Contoh Soal Tes Seleksi Masuk Sekolah FAAST Penerbangan Terbaru Gambaran Soal Tes Tertulis Masuk FAAST Penerbangan FAAST Penerbangan adalah lembaga pendidikan dan pelatihan staff airline yang berlokasi di Kota Yogyakarta. Contoh soal ujian tes bandara. Contoh soal tes bahasa inggris akmil selamat malam pembaca setia tarunaakademi pada kesempatan kali ini saya akan memberikan contoh soal tes bahasa inggris akmil berikut dengan jawabannya.
Source: ekonomi.bisnis.com
Bagi Anda yang ingin menjadi Staff Penerbangan tes performence menjadi hal pertama yang dilakukan. Contoh soal tes akuntansi untuk calon karyawan dan jawabannya. Didalam tes online selain Bahasa Inggris juga ada soal psikotest. Contoh Soal CPNS untuk SKD yang meliputi Tes Wawasan Kebangsaan TWK Tes. Terpopuler 36 Soal Tes Bandara.
Source: mkh.sch.id
Tes Performance STAFF Penerbangan. Contoh Soal Tes Seleksi Masuk Sekolah FAAST Penerbangan Terbaru Gambaran Soal Tes Tertulis Masuk FAAST Penerbangan FAAST Penerbangan adalah lembaga pendidikan dan pelatihan staff airline yang berlokasi di Kota Yogyakarta. Selain bisa memperindah tampilan HP soal ujian dengan tema tulisan ini bisa memberikan warna tersendiri buat keseharianmu. Soal Ujian Perangkat Desa 2020 Kunci Ciptacendekia Com. Simak ulasan terkait soal ujian dengan artikel Terpopuler 36 Soal Tes Bandara.
Source: mkh.sch.id
Contoh Soal Tes Seleksi Masuk Sekolah FAAST Penerbangan Terbaru Gambaran Soal Tes Tertulis Masuk FAAST Penerbangan FAAST Penerbangan adalah lembaga pendidikan dan pelatihan staff airline yang berlokasi di Kota Yogyakarta. Tes Performance STAFF Penerbangan. Tes ini digunakan untuk mengukur kemampuan nalar atau daya tangkap anda dalam menerima dan melaksanakan instruksi dengan cepat dan tepat. Dengan sering berlatih berbagai tipe soal psikotes matematika tersebut dan mempelajari pembahasannya semoga kita. Untuk informasi pendaftaran sekolah penerbangan.
Source: kisikisitestertulismasuksekolahpspppenerbangan.wordpress.com
Soal Ujian Perangkat Desa 2020 Kunci Ciptacendekia Com. Contoh soal ujian tes bandara. Can you get the waiter _____ the table please. Contoh soal tes kerja staff administrasi. Berikut adalah contoh Soal Tes Bahasa Inggris Calon Pramugari Flight Attendant.
Source: pendidikanstaffpenerbangan.com
Dan tahapan dari tes tersebut ada seperti tes wawancara tes fisik dan tes online tes bahasa inggris. Tentang tips menjalani tes dan interview sebagai staff accounting. Cara Lolos Tes Interview Staff Penerbangan Ada banyak sekali tips yang bisa anda coba agar bisa lolos saat menghadapi Tes Wawancara Interview Kerja Salah satu tips yang paling ampuh adalah dengan mengikuti pendidikan. Contoh soal tes deret aritmatika terdiri dari nomor 26-30. Jumlah 4 bilangan pertama adalah 50 dan jumlah 4 bilangan terakhir adalah 74.
Source: mikiransoal.blogspot.com
Tes ini akan mengukur tinggi dan berat badan Anda apakah sudah ideal atau belum. Simak ulasan terkait soal ujian dengan artikel Terpopuler 36 Soal Tes Bandara. Contoh soal tes kerja staff administrasi. Jumlah 4 bilangan pertama adalah 50 dan jumlah 4 bilangan terakhir adalah 74. Untuk anda yang sedang mencari contoh soal psikotes matematika dilengkapi.
Source: id.scribd.com
Berikut adalah contoh Soal Tes Bahasa Inggris Calon Pramugari Flight Attendant. Dan tahapan dari tes tersebut ada seperti tes wawancara tes fisik dan tes online tes bahasa inggris. Contoh Soal Tes Staff PENERBANGAN Contoh Soal Bahasa Inggris Tes PENERBANGAN Tes pengetahuan umum PENERBANGAN Tes Masuk Staff PENERBANGAN Tes Akademik PENERBANGAN Soal matematika tes pilot Tes Masuk Sekolah PENERBANGAN Contoh Soal Tes Masuk SMK PENERBANGAN Contoh Soal Tes Akademik SMK penerbangan Tes Psikotes Sekolah penerbangan Soal tes bandara Contoh soal psikotes Staff. Konsep 36 Contoh Soal Tes Akademik SMK Penerbangan. Contoh Soal Tes Tertulis Bagian Administrasi.
Source: id.pinterest.com
Tes komputer untuk posisi administrasi Rumus Microsoft excel administrasi perkantoran Belajar microsoft excel memang lah harus bertahap tahap Langkah pertama adalah mengenal rumus Microsoft Excel sehingga untuk. Selain bisa memperindah tampilan HP soal ujian dengan tema tulisan ini bisa memberikan warna tersendiri buat keseharianmu. Jumlah 4 bilangan pertama adalah 50 dan jumlah 4 bilangan terakhir adalah 74. Tes ini digunakan untuk mengukur kemampuan nalar atau daya tangkap anda dalam menerima dan melaksanakan instruksi dengan cepat dan tepat. Tes Tulis Staff Adm Contoh Soal Tes Administrasi Perkantoran Dan Jawabannya Pdf Ilmusosial Id.
Source: megapolitan.kompas.com
Cara Lolos Tes Interview Staff Penerbangan Ada banyak sekali tips yang bisa anda coba agar bisa lolos saat menghadapi Tes Wawancara Interview Kerja Salah satu tips yang paling ampuh adalah dengan mengikuti pendidikan. Soal Ujian Perangkat Desa 2020 Kunci Ciptacendekia Com. Contoh soal tes staff bandara. Dan dibawah ini admin akan memberikan contoh contoh soal tes bahasa inggris masuk sebuah sekolah penerbangan. Tes Tulis Staff Adm Contoh Soal Tes Administrasi Perkantoran Dan Jawabannya Pdf Ilmusosial Id.
Source: wiraangkasaacademy.net
Soal Bahasa Inggris Pramugari Type 1. Selain bisa memperindah tampilan HP soal ujian dengan tema tulisan ini bisa memberikan warna tersendiri buat keseharianmu. Contoh Soal Tes Staff Penerbangan Mikiran Soal. Sebagai soal ujian indah dan cantik kita telah ada buat Anda dengan bermacam model misalnya Download Gambar Wallpaper Hp Android dll. Setidaknya Contoh Soal Tes Wawancara Staff Penerbangan tersebut bisa memberikan gambaran agar mempersiapkan diri ketika akan melakukan wawancara.
Source: youtube.com
Apabila informasi yang kami sampaikan di situs ini. Tentang tips menjalani tes dan interview sebagai staff accounting. Poin pembahasan Gaya Terbaru 23 Kumpulan Soal Tes PENERBANGAN adalah. Soal Bahasa Inggris Pramugari Type 1. Untuk anda yang sedang mencari contoh soal psikotes matematika dilengkapi.
Source: jawabanku.id
Tentang tips menjalani tes dan interview sebagai staff accounting. Untuk itu simak baik baik ya gaess agar kalian nanti ketika menghadapi tes. Bagi Anda yang ingin menjadi Staff Penerbangan tes performence menjadi hal pertama yang dilakukan. TES KOMPUTER UNTUK MELAMAR KERJA SEBAGAI STAFADMIN CONTOH SOAL TES KOMPUTER SAAT MELAMAR KERJA - YouTube. Cara Lolos Tes Interview Staff Penerbangan Ada banyak sekali tips yang bisa anda coba agar bisa lolos saat menghadapi Tes Wawancara Interview Kerja Salah satu tips yang paling ampuh adalah dengan mengikuti pendidikan.
This site is an open community for users to do sharing their favorite wallpapers on the internet, all images or pictures in this website are for personal wallpaper use only, it is stricly prohibited to use this wallpaper for commercial purposes, if you are the author and find this image is shared without your permission, please kindly raise a DMCA report to Us.
If you find this site beneficial, please support us by sharing this posts to your preference social media accounts like Facebook, Instagram and so on or you can also save this blog page with the title contoh soal tes staff bandara by using Ctrl + D for devices a laptop with a Windows operating system or Command + D for laptops with an Apple operating system. If you use a smartphone, you can also use the drawer menu of the browser you are using. Whether it’s a Windows, Mac, iOS or Android operating system, you will still be able to bookmark this website.




