Your Contoh soal pemrograman web kelas 11 beserta jawabannya images are available. Contoh soal pemrograman web kelas 11 beserta jawabannya are a topic that is being searched for and liked by netizens now. You can Find and Download the Contoh soal pemrograman web kelas 11 beserta jawabannya files here. Get all royalty-free photos.
If you’re searching for contoh soal pemrograman web kelas 11 beserta jawabannya pictures information linked to the contoh soal pemrograman web kelas 11 beserta jawabannya keyword, you have come to the ideal blog. Our site frequently provides you with hints for seeing the highest quality video and image content, please kindly hunt and find more enlightening video articles and images that fit your interests.
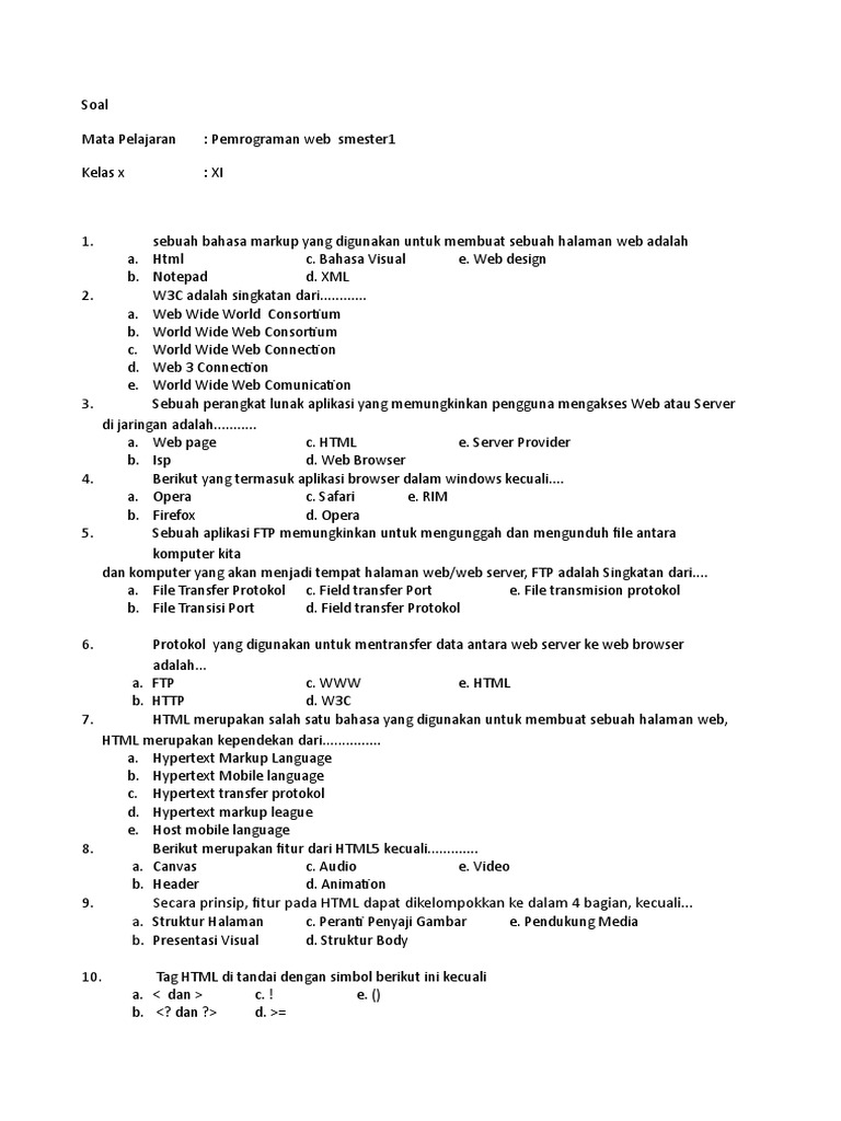
Contoh Soal Pemrograman Web Kelas 11 Beserta Jawabannya. PEMROGRAMAN WEB DAN PERANGKAT BERGERAK KELAS XI RPL SEMESTER GANJIL. LATIHAN SOAL MENGHADAPI PTS 1 2018-2019. Code Style Sheet 2. Halo sahabat programmer kali ini kita akan membahas contoh soal latihan pilihan ganda pemrograman web PHP.
Contoh Soal Pbo Dan Pwpb Kelas Xi From id.scribd.com
Soal Komunikasi Bisnis Beserta Jawabannya Kelas Xi Smk Semester 2Artikel soal ekonomi kelas 10 x tingkat sma ma stm smk dan lengkap soal pg atau essay kurikulum 2020 2021 semester 1 dan 2 berikut kunci jawaban nya. Elemen-elemen pada bagian Head akan mengerjakan tugas-tugas berikut KECUALI. WWW merupakan kepanjangan dari. Contoh soal basis data soal basis data kelas 11 semester 1 Contoh Soal Pilihan Ganda Pemrograman Web PHP Halo sahabat programmer kali ini kita akan membahas contoh soal latihan pilihan ganda pemrograman web PHP beserta jawabannya yang sering muncul baik di ujian tengah maupun akhir semester. 20210325 Soal pbo i kelas 11 semester 2. 111 Contoh Soal Pemrograman Dinamis Pembahasan.
LATIHAN SOAL MENGHADAPI PTS 1 2018-2019.
20210325 Soal pbo i kelas 11 semester 2. Pemrograman yang dalam bahasa English adalah programming dan diartikan proses cara perbuatan program. Blog yang berisi kumpulan contoh format RPP dan Silabus untuk berbagai jenjang. Kepanjangan HTML adalah A. Kumpulan soal listrik dinamis dan pembahasannya latihan soal rangkaian seri latihan soal rangkaian paralel hukum kirchoff ii. WWW merupakan kepanjangan dari.
Source: jawabanku.id
Contoh Soal Ekonomi kelas X Semester Ganjil Beserta Jawabannya LENGKAP Oleh muhamad abror Diposting pada 10 Februari 2021 1Elemen yang menjadi fokus dalam analisis ekonomi mikro adalah. 111 Contoh Soal Pemrograman Dinamis Pembahasan. Contoh kode html memasukkan gambar ke dalam tabel. Administrasi basis data 02. Soal dan jawaban pemrograman web 1Type yang berfungsi untuk menerima masukan berupa teks dari pengguna adalah A.
Source: fivser.com
Contoh Soal Pemrograman Web Kelas 11 Beserta Jawabannya. Soal essay pemrograman web beserta jawabannyasiswa bisa memahami dan latihan mengerjakan 10 soal essay beserta jawabannya untuk menghadapi ujian. Kepanjangan HTML adalah A. Soal pkn kelas 11 semester 1 beserta jawabannya kurikulum 2013 contoh soal ppkn kelas xi smt 1 k13 kurtilas pilihan ganda atau disingkat pg untuk soal essay atau uraian di artikel selanjutnya. Soal dan jawaban pemrograman web 1Type yang berfungsi untuk menerima masukan berupa teks dari pengguna adalah A.
Source: pt.slideshare.net
Contoh kode html memasukkan gambar ke dalam tabel. Conroh soal dan jawaban uts pemrograman dasar kelas x semester 1 dan 2 dalam menyusun suatu programlangkah pertama yang harus di lakkukan adalah sebuah prosedur langkah demi langkah yang pasti untuk menyelesaikan sebuah masalah di sebut. Contoh soal basis data soal basis data kelas 11 semester 1 Contoh Soal Pilihan Ganda Pemrograman Web PHP Halo sahabat programmer kali ini kita akan membahas contoh soal latihan pilihan ganda pemrograman web PHP beserta jawabannya yang sering muncul baik di ujian tengah maupun akhir semester. Soal desain grafis beserta jawabannya kelas 10 guru ilmu sosial rpp pemrograman dasar kelas x kelas xi by vikri q issuu. Soal Kelas XI RPL - Pemrograman Web dan Perangkat Bergerak.
Source: id.scribd.com
Soal Pemrograman Web Kelas 11 Kunci Jawaban 2020. Soal essay pemrograman web beserta jawabannyasiswa bisa memahami dan latihan mengerjakan 10 soal essay beserta jawabannya untuk menghadapi ujian. Soal pkn kelas 11 semester 1 beserta jawabannya kurikulum 2013 contoh soal ppkn kelas xi smt 1 k13 kurtilas pilihan ganda atau disingkat pg untuk soal essay atau uraian di artikel selanjutnya. Contoh Soal Essay Pemrograman Dasar Dan Jawabannya Barisan Contoh Contoh Soal Pemrograman Dasar Dan Jawabannya Contoh Blog Joss Analisis Jawaban Soal Essay Simki Analisis Jawaban Soal Kumpulan Soal Soal Pemrograman Dasar Kelas Xi Beserta Kunci 2 2 Https Media Neliti Com Media Publications 288933 Menghitung Ketepatan Jawaban Soal Ujian 377eb04c. Memberitahu browser untuk membuat form pencarian.
Source: id.scribd.com
Soal Komunikasi Bisnis Beserta Jawabannya Kelas Xi Smk Semester 2Artikel soal ekonomi kelas 10 x tingkat sma ma stm smk dan lengkap soal pg atau essay kurikulum 2020 2021 semester 1 dan 2 berikut kunci jawaban nya. Contoh soal basis data soal basis data kelas 11 semester 1 Contoh Soal Pilihan Ganda Pemrograman Web PHP Halo sahabat programmer kali ini kita akan membahas contoh soal latihan pilihan ganda pemrograman web PHP beserta jawabannya yang sering muncul baik di ujian tengah maupun akhir semester. Pemrograman yang dalam bahasa English adalah programming dan diartikan proses cara perbuatan program. Contoh kode html memasukkan gambar ke dalam tabel. 10 Charlos Hima Irawan BAB1 1.
Source: id.scribd.com
Kepanjangan HTML adalah A. Contoh Soal UTS Pemrograman Web HTML Pilihan Ganda beserta Jawabannya SMK TKJ. Soal dan jawaban pemrograman web 1Type yang berfungsi untuk menerima masukan berupa teks dari pengguna adalah A. Soal no1 utbk 2019 misalkan balok abcdefgh dengan ab 2 cm bc 1 cm dan ae 1 cm. 20200722 soal uas pemrograman dasar kelas 10 semester genap tahun ajaran 2014 contoh soal essay pemrograman dasar dan jawabannya kelas 10 soal dan jawaban pemrograman.
Source: gurujawabansoal.blogspot.com
Soal essay pemrograman web beserta jawabannyasiswa bisa memahami dan latihan mengerjakan 10 soal essay beserta jawabannya untuk menghadapi ujian. Contoh Soal UTS Pemrograman Web HTML Pilihan Ganda beserta Jawabannya SMK TKJ. 20200911 Soal latihan pemrograman web berorientasi objek dan perangkat bergerak smk kelas xi rekayasa perangkat lunak. 20210325 Soal pbo i kelas 11 semester 2. Soal pkn kelas 11 semester 1 beserta jawabannya kurikulum 2013 contoh soal ppkn kelas xi smt 1 k13 kurtilas pilihan ganda atau disingkat pg untuk soal essay atau uraian di artikel selanjutnya.
Source: jawabansoal.net
31 Memahami konsep teknologi aplikasi WEB. Contoh soal basis data soal basis data kelas 11 semester 1 Contoh Soal Pilihan Ganda Pemrograman Web PHP Halo sahabat programmer kali ini kita akan membahas contoh soal latihan pilihan ganda pemrograman web PHP beserta jawabannya yang sering muncul baik di ujian tengah maupun akhir semester. 111 Contoh Soal Pemrograman Dinamis Pembahasan. Kepanjangan HTML adalah A. Contoh Soal Pemrograman Web Kelas 11 Beserta Jawabannya.
Source: id.scribd.com
Contoh soal web browser beserta jawabannya. Contoh soal basis data soal basis data kelas 11 semester 1 Contoh Soal Pilihan Ganda Pemrograman Web PHP Halo sahabat programmer kali ini kita akan membahas contoh soal latihan pilihan ganda pemrograman web PHP beserta jawabannya yang sering muncul baik di ujian tengah maupun akhir semester. Soal Komunikasi Bisnis Beserta Jawabannya Kelas Xi Smk Semester 2Artikel soal ekonomi kelas 10 x tingkat sma ma stm smk dan lengkap soal pg atau essay kurikulum 2020 2021 semester 1 dan 2 berikut kunci jawaban nya. Memberitahu browser untuk membuat form pencarian. Conroh soal dan jawaban uts pemrograman dasar kelas x semester 1 dan 2 dalam menyusun suatu programlangkah pertama yang harus di lakkukan adalah sebuah prosedur langkah demi langkah yang pasti untuk menyelesaikan sebuah masalah di sebut.
Source: id.scribd.com
Contoh Soal Pemrograman Web Kelas 11 Beserta Jawabannya. Code Style Sheet 2. Contoh Soal Pemrograman Web Kelas Xi Beserta Jawabannya Contoh Soal Dan Jawaban Pemrograman Web Kelas 12 Oleh Namila Diposting pada Agustus 9 2020 Hai sobal pencari soal prediksi 2020 di kesempatan kali ini admin akan membagikan latihan soal di jurusan tkj pada mata. Soal Pemrograman Web Kelas 11 Kunci Jawaban 2020. Contoh Soal Essay Pemrograman Dasar Dan Jawabannya Barisan Contoh Contoh Soal Pemrograman Dasar Dan Jawabannya Contoh Blog Joss Analisis Jawaban Soal Essay Simki Analisis Jawaban Soal Kumpulan Soal Soal Pemrograman Dasar Kelas Xi Beserta Kunci 2 2 Https Media Neliti Com Media Publications 288933 Menghitung Ketepatan Jawaban Soal Ujian 377eb04c.
Source: slideshare.net
Kepanjangan HTML adalah A. Soal dan jawaban pemrograman dasar kelas xi. Contoh soal basis data soal basis data kelas 11 semester 1 Contoh Soal Pilihan Ganda Pemrograman Web PHP Halo sahabat programmer kali ini kita akan membahas contoh soal latihan pilihan ganda pemrograman web PHP beserta jawabannya yang sering muncul baik di ujian tengah maupun akhir semester. Contoh Soal UTS Pemrograman Web HTML Pilihan Ganda beserta Jawabannya SMK TKJ. Soal dan jawaban pemrograman web 1Type yang berfungsi untuk menerima masukan berupa teks dari pengguna adalah A.
Source: id.scribd.com
Contoh Soal Pat Pemrograman Dasar Kelas X Rpl Tips Bermanfaat. 31 Memahami konsep teknologi aplikasi WEB. Semoga soal ini dapat. Elemen-elemen pada bagian Head akan mengerjakan tugas-tugas berikut KECUALI. Pemrograman yang dalam bahasa English adalah programming dan diartikan proses cara perbuatan program.
Source: id.scribd.com
Soal Pemrograman Web Kelas 11 Kunci Jawaban 2020. Contoh Soal Ekonomi kelas X Semester Ganjil Beserta Jawabannya LENGKAP Oleh muhamad abror Diposting pada 10 Februari 2021 1Elemen yang menjadi fokus dalam analisis ekonomi mikro adalah. Sedangkan defenisi web yaitu sebuah jaringan komputer yang terdiri dari kumpulan situs internet yang. Kumpulan soal listrik dinamis dan pembahasannya latihan soal rangkaian seri latihan soal rangkaian paralel hukum kirchoff ii. Contoh Soal Pemrograman Web Kelas 11 Beserta Jawabannya.
Source: barucontohsoal.blogspot.com
Kepanjangan HTML adalah A. 111 Contoh Soal Pemrograman Dinamis Pembahasan. Soal no1 utbk 2019 misalkan balok abcdefgh dengan ab 2 cm bc 1 cm dan ae 1 cm. Contoh Soal Essay Pemrograman Web Gambaran from belajarbahasagithubio. Conroh soal dan jawaban uts pemrograman dasar kelas x semester 1 dan 2 dalam menyusun suatu programlangkah pertama yang harus di lakkukan adalah sebuah prosedur langkah demi langkah yang pasti untuk menyelesaikan sebuah masalah di sebut.
Source: mencarijawabanlengkap.blogspot.com
Nah kakak sudah menyususn 40 soal dari mata pelajaran Pemrograman Dasar untuk adik adik SMKSTM Semoga dengan soal. Nah kakak sudah menyususn 40 soal dari mata pelajaran Pemrograman Dasar untuk adik adik SMKSTM Semoga dengan soal. Soal Pemrograman Web Kelas 11 Kunci Jawaban 2020. Conroh soal dan jawaban uts pemrograman dasar kelas x semester 1 dan 2 dalam menyusun suatu programlangkah pertama yang harus di lakkukan adalah sebuah prosedur langkah demi langkah yang pasti untuk menyelesaikan sebuah masalah di sebut. Pemrograman web diambil dari dua suku kata yaitu pemrograman dan web.
Source: studindo.vercel.app
Contoh soal basis data soal basis data kelas 11 semester 1 Contoh Soal Pilihan Ganda Pemrograman Web PHP Halo sahabat programmer kali ini kita akan membahas contoh soal latihan pilihan ganda pemrograman web PHP beserta jawabannya yang sering muncul baik di ujian tengah maupun akhir semester. Contoh soal web browser beserta jawabannya. 31 Memahami konsep teknologi aplikasi WEB. Contoh soal basis data soal basis data kelas 11 semester 1 Contoh Soal Pilihan Ganda Pemrograman Web PHP Halo sahabat programmer kali ini kita akan membahas contoh soal latihan pilihan ganda pemrograman web PHP beserta jawabannya yang sering muncul baik di ujian tengah maupun akhir semester. 20200722 soal uas pemrograman dasar kelas 10 semester genap tahun ajaran 2014 contoh soal essay pemrograman dasar dan jawabannya kelas 10 soal dan jawaban pemrograman.
Source: jawabanku.id
Soal pkn kelas 11 semester 1 beserta jawabannya kurikulum 2013 contoh soal ppkn kelas xi smt 1 k13 kurtilas pilihan ganda atau disingkat pg untuk soal essay atau uraian di artikel selanjutnya. Contoh Soal UTS Pemrograman Web HTML Pilihan Ganda beserta Jawabannya SMK TKJ. Http Varelgiovan17 Blogspot Com 2017 05 Contoh Soal Beserta Jawaban Pemrograman Html. Sedangkan defenisi web yaitu sebuah jaringan komputer yang terdiri dari kumpulan situs internet yang. Contoh kode html memasukkan gambar ke dalam tabel.
Source: id.pinterest.com
Contoh Soal Essay Pemrograman Web Gambaran from belajarbahasagithubio. Memberitahu browser untuk membuat form pencarian. Soal dan jawaban pemrograman web 1Type yang berfungsi untuk menerima masukan berupa teks dari pengguna adalah A. Contoh Soal Pemrograman Web Kelas 11 Beserta Jawabannya. Semoga soal ini dapat.
This site is an open community for users to share their favorite wallpapers on the internet, all images or pictures in this website are for personal wallpaper use only, it is stricly prohibited to use this wallpaper for commercial purposes, if you are the author and find this image is shared without your permission, please kindly raise a DMCA report to Us.
If you find this site helpful, please support us by sharing this posts to your favorite social media accounts like Facebook, Instagram and so on or you can also bookmark this blog page with the title contoh soal pemrograman web kelas 11 beserta jawabannya by using Ctrl + D for devices a laptop with a Windows operating system or Command + D for laptops with an Apple operating system. If you use a smartphone, you can also use the drawer menu of the browser you are using. Whether it’s a Windows, Mac, iOS or Android operating system, you will still be able to bookmark this website.



